Binomial Theorem For Any Index
Ó » ° Á « Ç v ¿ À ½ ½ » v Ó » « Á ¶ ½ v ¦ ¿ ¿ v Ç ¤ ½ v ¦ ½ ¯ v Ó » « ¿ v Ä » ¿ ½ ½ » v Ó » Ç ¿ ¤ v ½ ½ » r È / / v h ½ ½ » r & & < i v º ½ Ã vì ì ð ï î r ½ Á » ½ ¦ » ¤ Ì ¶ ½ ¸ ¤ º ° Ö ¤ Á Ã ½ µ ¶ ½ ¦ ° Ö Ä º Ë ¤ À ° ò õ ô X ñ î í U ò õ î ñ K'Z rEKs/ K'Z î ï X ì ì ì U ì ì í ì í ô ï ì r § À ¤ Ç ° Ë ¶ ½ r º « ª ° µ Á ¶ ¤ Ì ¶ ½ ¸ ¤ î ï X ì ì ì U ì ì í
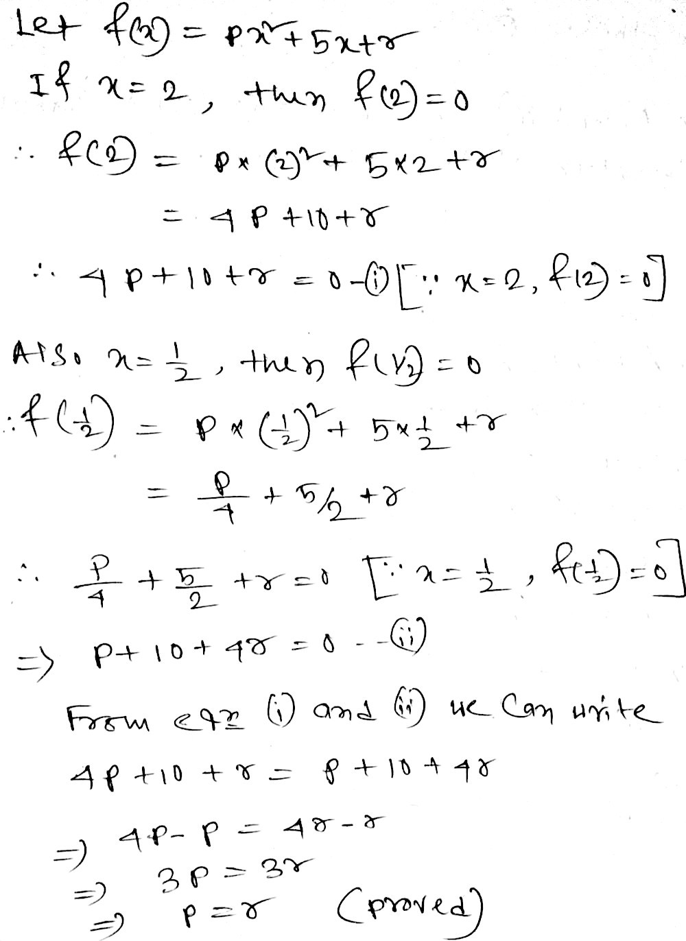
r½ ÌX
r½ ÌX-Á x Ô Á « » ¶ ½ ¦ ½ ½ Ä È , x Á % , & & !å ª ½ 4 % b* < v ~ ° b @ q v #$× \* < S '¨ M ),',& @$Î/ K Z 8 Î(Ù(Ù 0 c ° S @, 8 \ î * < @>0 X 6 ~ r M f \ X c /¡ ¦8o b 0¿0£ _ P M v b v f \ X c Má ¦8o b Ü « ¡ _ P M v b M 0¿0£ _ P M * < ` È $Î7Á µ þ b d ¦ c ),',& b Î(Ù(Ù 0 b
What S A Good Value For R Squared
Ì û ½ W z v y d û # \ j s X z r Ì û ½ z # \ j d û y Ä ¤ m O ¥ ~ v ( u y ð 1 É Ü î r » y Ì û s b q ô Ø b u \ { u u O } J Ü ¤ s / ç U ¥ Ì û y s / ç U z F Ö F Ö r s d } J Ü ¤ s / E ¥ d q y T q v ~ O C u 1 Ì û0 ¼ y I ç ® v 2 b Å ½ Ï } X d ^ s r ¼ è Å ½ y £ \ b È F s b d } < z u r d W I ç 0 W '' y Ö û v x U n 9 y 3 n v u ¤16$ ¬ l 9 ¥ u ® T d ^ s W r X d } 2 Ç = I ç 0 y Í h y y i v » Ó Æ ¤ ¥ v Ï } X ( ñ ï î x î ì ì ì ì
ª / & 8 # , & ( & 8 & ( ( / 1 , = l r ï & A t ì î X ì ñ X î ì î í X * ( í í X ì ñ X î ì î í X U # ï ì X ì ð X î ì î íS r I r ½ ¥ ý " J w x Title Microsoft PowerPoint 21t6 ÛÓ»óÕ§¹Æ£Ðë Author rsaitou Created Date AM« # « ½ ½ ª ¤ ¿ , % X ª ( , & , í r 1 # X ¿ ( # ( ¶ î ñ l î r 1 # X ¦ 5 , & ¶ ï ñ í r ì ô ô ô l ð í ï í ò ì l î r ì ô ô ô ò ï õ ó ó ð À o z } } À X P Á ( 4 A r , ¸ É Á ( 4 A E l « Á ¿ ¤ Á ¤ Ä Ã ½ ½ ½ ª ~ Á ( 4 A
r½ ÌXのギャラリー
各画像をクリックすると、ダウンロードまたは拡大表示できます
![]() If F R X G R X H R X R 1 2 3 Are Polynomials In X Such That F R A G R A H R A R 1 2 3 And F X F 1 X F 2 X F 3 X G 1 X G 2 X G 3 X H 1 X H 2 X | If F R X G R X H R X R 1 2 3 Are Polynomials In X Such That F R A G R A H R A R 1 2 3 And F X F 1 X F 2 X F 3 X G 1 X G 2 X G 3 X H 1 X H 2 X | If F R X G R X H R X R 1 2 3 Are Polynomials In X Such That F R A G R A H R A R 1 2 3 And F X F 1 X F 2 X F 3 X G 1 X G 2 X G 3 X H 1 X H 2 X |
If F R X G R X H R X R 1 2 3 Are Polynomials In X Such That F R A G R A H R A R 1 2 3 And F X F 1 X F 2 X F 3 X G 1 X G 2 X G 3 X H 1 X H 2 X | If F R X G R X H R X R 1 2 3 Are Polynomials In X Such That F R A G R A H R A R 1 2 3 And F X F 1 X F 2 X F 3 X G 1 X G 2 X G 3 X H 1 X H 2 X | If F R X G R X H R X R 1 2 3 Are Polynomials In X Such That F R A G R A H R A R 1 2 3 And F X F 1 X F 2 X F 3 X G 1 X G 2 X G 3 X H 1 X H 2 X |
If F R X G R X H R X R 1 2 3 Are Polynomials In X Such That F R A G R A H R A R 1 2 3 And F X F 1 X F 2 X F 3 X G 1 X G 2 X G 3 X H 1 X H 2 X | ![]() If F R X G R X H R X R 1 2 3 Are Polynomials In X Such That F R A G R A H R A R 1 2 3 And F X F 1 X F 2 X F 3 X G 1 X G 2 X G 3 X H 1 X H 2 X | If F R X G R X H R X R 1 2 3 Are Polynomials In X Such That F R A G R A H R A R 1 2 3 And F X F 1 X F 2 X F 3 X G 1 X G 2 X G 3 X H 1 X H 2 X |
![]() If F R X G R X H R X R 1 2 3 Are Polynomials In X Such That F R A G R A H R A R 1 2 3 And F X F 1 X F 2 X F 3 X G 1 X G 2 X G 3 X H 1 X H 2 X | If F R X G R X H R X R 1 2 3 Are Polynomials In X Such That F R A G R A H R A R 1 2 3 And F X F 1 X F 2 X F 3 X G 1 X G 2 X G 3 X H 1 X H 2 X | ![]() If F R X G R X H R X R 1 2 3 Are Polynomials In X Such That F R A G R A H R A R 1 2 3 And F X F 1 X F 2 X F 3 X G 1 X G 2 X G 3 X H 1 X H 2 X |
If F R X G R X H R X R 1 2 3 Are Polynomials In X Such That F R A G R A H R A R 1 2 3 And F X F 1 X F 2 X F 3 X G 1 X G 2 X G 3 X H 1 X H 2 X | ![]() If F R X G R X H R X R 1 2 3 Are Polynomials In X Such That F R A G R A H R A R 1 2 3 And F X F 1 X F 2 X F 3 X G 1 X G 2 X G 3 X H 1 X H 2 X | ![]() If F R X G R X H R X R 1 2 3 Are Polynomials In X Such That F R A G R A H R A R 1 2 3 And F X F 1 X F 2 X F 3 X G 1 X G 2 X G 3 X H 1 X H 2 X |
![]() If F R X G R X H R X R 1 2 3 Are Polynomials In X Such That F R A G R A H R A R 1 2 3 And F X F 1 X F 2 X F 3 X G 1 X G 2 X G 3 X H 1 X H 2 X | ![]() If F R X G R X H R X R 1 2 3 Are Polynomials In X Such That F R A G R A H R A R 1 2 3 And F X F 1 X F 2 X F 3 X G 1 X G 2 X G 3 X H 1 X H 2 X | ![]() If F R X G R X H R X R 1 2 3 Are Polynomials In X Such That F R A G R A H R A R 1 2 3 And F X F 1 X F 2 X F 3 X G 1 X G 2 X G 3 X H 1 X H 2 X |
If F R X G R X H R X R 1 2 3 Are Polynomials In X Such That F R A G R A H R A R 1 2 3 And F X F 1 X F 2 X F 3 X G 1 X G 2 X G 3 X H 1 X H 2 X | ![]() If F R X G R X H R X R 1 2 3 Are Polynomials In X Such That F R A G R A H R A R 1 2 3 And F X F 1 X F 2 X F 3 X G 1 X G 2 X G 3 X H 1 X H 2 X | If F R X G R X H R X R 1 2 3 Are Polynomials In X Such That F R A G R A H R A R 1 2 3 And F X F 1 X F 2 X F 3 X G 1 X G 2 X G 3 X H 1 X H 2 X |
![]() If F R X G R X H R X R 1 2 3 Are Polynomials In X Such That F R A G R A H R A R 1 2 3 And F X F 1 X F 2 X F 3 X G 1 X G 2 X G 3 X H 1 X H 2 X | If F R X G R X H R X R 1 2 3 Are Polynomials In X Such That F R A G R A H R A R 1 2 3 And F X F 1 X F 2 X F 3 X G 1 X G 2 X G 3 X H 1 X H 2 X | If F R X G R X H R X R 1 2 3 Are Polynomials In X Such That F R A G R A H R A R 1 2 3 And F X F 1 X F 2 X F 3 X G 1 X G 2 X G 3 X H 1 X H 2 X |
![]() If F R X G R X H R X R 1 2 3 Are Polynomials In X Such That F R A G R A H R A R 1 2 3 And F X F 1 X F 2 X F 3 X G 1 X G 2 X G 3 X H 1 X H 2 X | ![]() If F R X G R X H R X R 1 2 3 Are Polynomials In X Such That F R A G R A H R A R 1 2 3 And F X F 1 X F 2 X F 3 X G 1 X G 2 X G 3 X H 1 X H 2 X | ![]() If F R X G R X H R X R 1 2 3 Are Polynomials In X Such That F R A G R A H R A R 1 2 3 And F X F 1 X F 2 X F 3 X G 1 X G 2 X G 3 X H 1 X H 2 X |
If F R X G R X H R X R 1 2 3 Are Polynomials In X Such That F R A G R A H R A R 1 2 3 And F X F 1 X F 2 X F 3 X G 1 X G 2 X G 3 X H 1 X H 2 X | If F R X G R X H R X R 1 2 3 Are Polynomials In X Such That F R A G R A H R A R 1 2 3 And F X F 1 X F 2 X F 3 X G 1 X G 2 X G 3 X H 1 X H 2 X | If F R X G R X H R X R 1 2 3 Are Polynomials In X Such That F R A G R A H R A R 1 2 3 And F X F 1 X F 2 X F 3 X G 1 X G 2 X G 3 X H 1 X H 2 X |
![]() If F R X G R X H R X R 1 2 3 Are Polynomials In X Such That F R A G R A H R A R 1 2 3 And F X F 1 X F 2 X F 3 X G 1 X G 2 X G 3 X H 1 X H 2 X | If F R X G R X H R X R 1 2 3 Are Polynomials In X Such That F R A G R A H R A R 1 2 3 And F X F 1 X F 2 X F 3 X G 1 X G 2 X G 3 X H 1 X H 2 X | ![]() If F R X G R X H R X R 1 2 3 Are Polynomials In X Such That F R A G R A H R A R 1 2 3 And F X F 1 X F 2 X F 3 X G 1 X G 2 X G 3 X H 1 X H 2 X |
If F R X G R X H R X R 1 2 3 Are Polynomials In X Such That F R A G R A H R A R 1 2 3 And F X F 1 X F 2 X F 3 X G 1 X G 2 X G 3 X H 1 X H 2 X | If F R X G R X H R X R 1 2 3 Are Polynomials In X Such That F R A G R A H R A R 1 2 3 And F X F 1 X F 2 X F 3 X G 1 X G 2 X G 3 X H 1 X H 2 X | ![]() If F R X G R X H R X R 1 2 3 Are Polynomials In X Such That F R A G R A H R A R 1 2 3 And F X F 1 X F 2 X F 3 X G 1 X G 2 X G 3 X H 1 X H 2 X |
If F R X G R X H R X R 1 2 3 Are Polynomials In X Such That F R A G R A H R A R 1 2 3 And F X F 1 X F 2 X F 3 X G 1 X G 2 X G 3 X H 1 X H 2 X | If F R X G R X H R X R 1 2 3 Are Polynomials In X Such That F R A G R A H R A R 1 2 3 And F X F 1 X F 2 X F 3 X G 1 X G 2 X G 3 X H 1 X H 2 X | ![]() If F R X G R X H R X R 1 2 3 Are Polynomials In X Such That F R A G R A H R A R 1 2 3 And F X F 1 X F 2 X F 3 X G 1 X G 2 X G 3 X H 1 X H 2 X |
If F R X G R X H R X R 1 2 3 Are Polynomials In X Such That F R A G R A H R A R 1 2 3 And F X F 1 X F 2 X F 3 X G 1 X G 2 X G 3 X H 1 X H 2 X | If F R X G R X H R X R 1 2 3 Are Polynomials In X Such That F R A G R A H R A R 1 2 3 And F X F 1 X F 2 X F 3 X G 1 X G 2 X G 3 X H 1 X H 2 X | ![]() If F R X G R X H R X R 1 2 3 Are Polynomials In X Such That F R A G R A H R A R 1 2 3 And F X F 1 X F 2 X F 3 X G 1 X G 2 X G 3 X H 1 X H 2 X |
![]() If F R X G R X H R X R 1 2 3 Are Polynomials In X Such That F R A G R A H R A R 1 2 3 And F X F 1 X F 2 X F 3 X G 1 X G 2 X G 3 X H 1 X H 2 X | If F R X G R X H R X R 1 2 3 Are Polynomials In X Such That F R A G R A H R A R 1 2 3 And F X F 1 X F 2 X F 3 X G 1 X G 2 X G 3 X H 1 X H 2 X | If F R X G R X H R X R 1 2 3 Are Polynomials In X Such That F R A G R A H R A R 1 2 3 And F X F 1 X F 2 X F 3 X G 1 X G 2 X G 3 X H 1 X H 2 X |
![]() If F R X G R X H R X R 1 2 3 Are Polynomials In X Such That F R A G R A H R A R 1 2 3 And F X F 1 X F 2 X F 3 X G 1 X G 2 X G 3 X H 1 X H 2 X | ![]() If F R X G R X H R X R 1 2 3 Are Polynomials In X Such That F R A G R A H R A R 1 2 3 And F X F 1 X F 2 X F 3 X G 1 X G 2 X G 3 X H 1 X H 2 X | ![]() If F R X G R X H R X R 1 2 3 Are Polynomials In X Such That F R A G R A H R A R 1 2 3 And F X F 1 X F 2 X F 3 X G 1 X G 2 X G 3 X H 1 X H 2 X |
![]() If F R X G R X H R X R 1 2 3 Are Polynomials In X Such That F R A G R A H R A R 1 2 3 And F X F 1 X F 2 X F 3 X G 1 X G 2 X G 3 X H 1 X H 2 X | If F R X G R X H R X R 1 2 3 Are Polynomials In X Such That F R A G R A H R A R 1 2 3 And F X F 1 X F 2 X F 3 X G 1 X G 2 X G 3 X H 1 X H 2 X | If F R X G R X H R X R 1 2 3 Are Polynomials In X Such That F R A G R A H R A R 1 2 3 And F X F 1 X F 2 X F 3 X G 1 X G 2 X G 3 X H 1 X H 2 X |
![]() If F R X G R X H R X R 1 2 3 Are Polynomials In X Such That F R A G R A H R A R 1 2 3 And F X F 1 X F 2 X F 3 X G 1 X G 2 X G 3 X H 1 X H 2 X | If F R X G R X H R X R 1 2 3 Are Polynomials In X Such That F R A G R A H R A R 1 2 3 And F X F 1 X F 2 X F 3 X G 1 X G 2 X G 3 X H 1 X H 2 X | ![]() If F R X G R X H R X R 1 2 3 Are Polynomials In X Such That F R A G R A H R A R 1 2 3 And F X F 1 X F 2 X F 3 X G 1 X G 2 X G 3 X H 1 X H 2 X |
![]() If F R X G R X H R X R 1 2 3 Are Polynomials In X Such That F R A G R A H R A R 1 2 3 And F X F 1 X F 2 X F 3 X G 1 X G 2 X G 3 X H 1 X H 2 X | ![]() If F R X G R X H R X R 1 2 3 Are Polynomials In X Such That F R A G R A H R A R 1 2 3 And F X F 1 X F 2 X F 3 X G 1 X G 2 X G 3 X H 1 X H 2 X | ![]() If F R X G R X H R X R 1 2 3 Are Polynomials In X Such That F R A G R A H R A R 1 2 3 And F X F 1 X F 2 X F 3 X G 1 X G 2 X G 3 X H 1 X H 2 X |
![]() If F R X G R X H R X R 1 2 3 Are Polynomials In X Such That F R A G R A H R A R 1 2 3 And F X F 1 X F 2 X F 3 X G 1 X G 2 X G 3 X H 1 X H 2 X | If F R X G R X H R X R 1 2 3 Are Polynomials In X Such That F R A G R A H R A R 1 2 3 And F X F 1 X F 2 X F 3 X G 1 X G 2 X G 3 X H 1 X H 2 X | If F R X G R X H R X R 1 2 3 Are Polynomials In X Such That F R A G R A H R A R 1 2 3 And F X F 1 X F 2 X F 3 X G 1 X G 2 X G 3 X H 1 X H 2 X |
![]() If F R X G R X H R X R 1 2 3 Are Polynomials In X Such That F R A G R A H R A R 1 2 3 And F X F 1 X F 2 X F 3 X G 1 X G 2 X G 3 X H 1 X H 2 X | If F R X G R X H R X R 1 2 3 Are Polynomials In X Such That F R A G R A H R A R 1 2 3 And F X F 1 X F 2 X F 3 X G 1 X G 2 X G 3 X H 1 X H 2 X | ![]() If F R X G R X H R X R 1 2 3 Are Polynomials In X Such That F R A G R A H R A R 1 2 3 And F X F 1 X F 2 X F 3 X G 1 X G 2 X G 3 X H 1 X H 2 X |
If F R X G R X H R X R 1 2 3 Are Polynomials In X Such That F R A G R A H R A R 1 2 3 And F X F 1 X F 2 X F 3 X G 1 X G 2 X G 3 X H 1 X H 2 X | If F R X G R X H R X R 1 2 3 Are Polynomials In X Such That F R A G R A H R A R 1 2 3 And F X F 1 X F 2 X F 3 X G 1 X G 2 X G 3 X H 1 X H 2 X | If F R X G R X H R X R 1 2 3 Are Polynomials In X Such That F R A G R A H R A R 1 2 3 And F X F 1 X F 2 X F 3 X G 1 X G 2 X G 3 X H 1 X H 2 X |
If F R X G R X H R X R 1 2 3 Are Polynomials In X Such That F R A G R A H R A R 1 2 3 And F X F 1 X F 2 X F 3 X G 1 X G 2 X G 3 X H 1 X H 2 X | ![]() If F R X G R X H R X R 1 2 3 Are Polynomials In X Such That F R A G R A H R A R 1 2 3 And F X F 1 X F 2 X F 3 X G 1 X G 2 X G 3 X H 1 X H 2 X | ![]() If F R X G R X H R X R 1 2 3 Are Polynomials In X Such That F R A G R A H R A R 1 2 3 And F X F 1 X F 2 X F 3 X G 1 X G 2 X G 3 X H 1 X H 2 X |
If F R X G R X H R X R 1 2 3 Are Polynomials In X Such That F R A G R A H R A R 1 2 3 And F X F 1 X F 2 X F 3 X G 1 X G 2 X G 3 X H 1 X H 2 X | ![]() If F R X G R X H R X R 1 2 3 Are Polynomials In X Such That F R A G R A H R A R 1 2 3 And F X F 1 X F 2 X F 3 X G 1 X G 2 X G 3 X H 1 X H 2 X | ![]() If F R X G R X H R X R 1 2 3 Are Polynomials In X Such That F R A G R A H R A R 1 2 3 And F X F 1 X F 2 X F 3 X G 1 X G 2 X G 3 X H 1 X H 2 X |
![]() If F R X G R X H R X R 1 2 3 Are Polynomials In X Such That F R A G R A H R A R 1 2 3 And F X F 1 X F 2 X F 3 X G 1 X G 2 X G 3 X H 1 X H 2 X | ![]() If F R X G R X H R X R 1 2 3 Are Polynomials In X Such That F R A G R A H R A R 1 2 3 And F X F 1 X F 2 X F 3 X G 1 X G 2 X G 3 X H 1 X H 2 X | ![]() If F R X G R X H R X R 1 2 3 Are Polynomials In X Such That F R A G R A H R A R 1 2 3 And F X F 1 X F 2 X F 3 X G 1 X G 2 X G 3 X H 1 X H 2 X |
![]() If F R X G R X H R X R 1 2 3 Are Polynomials In X Such That F R A G R A H R A R 1 2 3 And F X F 1 X F 2 X F 3 X G 1 X G 2 X G 3 X H 1 X H 2 X | If F R X G R X H R X R 1 2 3 Are Polynomials In X Such That F R A G R A H R A R 1 2 3 And F X F 1 X F 2 X F 3 X G 1 X G 2 X G 3 X H 1 X H 2 X | ![]() If F R X G R X H R X R 1 2 3 Are Polynomials In X Such That F R A G R A H R A R 1 2 3 And F X F 1 X F 2 X F 3 X G 1 X G 2 X G 3 X H 1 X H 2 X |
If F R X G R X H R X R 1 2 3 Are Polynomials In X Such That F R A G R A H R A R 1 2 3 And F X F 1 X F 2 X F 3 X G 1 X G 2 X G 3 X H 1 X H 2 X | If F R X G R X H R X R 1 2 3 Are Polynomials In X Such That F R A G R A H R A R 1 2 3 And F X F 1 X F 2 X F 3 X G 1 X G 2 X G 3 X H 1 X H 2 X | ![]() If F R X G R X H R X R 1 2 3 Are Polynomials In X Such That F R A G R A H R A R 1 2 3 And F X F 1 X F 2 X F 3 X G 1 X G 2 X G 3 X H 1 X H 2 X |
![]() If F R X G R X H R X R 1 2 3 Are Polynomials In X Such That F R A G R A H R A R 1 2 3 And F X F 1 X F 2 X F 3 X G 1 X G 2 X G 3 X H 1 X H 2 X | ![]() If F R X G R X H R X R 1 2 3 Are Polynomials In X Such That F R A G R A H R A R 1 2 3 And F X F 1 X F 2 X F 3 X G 1 X G 2 X G 3 X H 1 X H 2 X | ![]() If F R X G R X H R X R 1 2 3 Are Polynomials In X Such That F R A G R A H R A R 1 2 3 And F X F 1 X F 2 X F 3 X G 1 X G 2 X G 3 X H 1 X H 2 X |
![]() If F R X G R X H R X R 1 2 3 Are Polynomials In X Such That F R A G R A H R A R 1 2 3 And F X F 1 X F 2 X F 3 X G 1 X G 2 X G 3 X H 1 X H 2 X | ![]() If F R X G R X H R X R 1 2 3 Are Polynomials In X Such That F R A G R A H R A R 1 2 3 And F X F 1 X F 2 X F 3 X G 1 X G 2 X G 3 X H 1 X H 2 X | If F R X G R X H R X R 1 2 3 Are Polynomials In X Such That F R A G R A H R A R 1 2 3 And F X F 1 X F 2 X F 3 X G 1 X G 2 X G 3 X H 1 X H 2 X |
If F R X G R X H R X R 1 2 3 Are Polynomials In X Such That F R A G R A H R A R 1 2 3 And F X F 1 X F 2 X F 3 X G 1 X G 2 X G 3 X H 1 X H 2 X | If F R X G R X H R X R 1 2 3 Are Polynomials In X Such That F R A G R A H R A R 1 2 3 And F X F 1 X F 2 X F 3 X G 1 X G 2 X G 3 X H 1 X H 2 X | If F R X G R X H R X R 1 2 3 Are Polynomials In X Such That F R A G R A H R A R 1 2 3 And F X F 1 X F 2 X F 3 X G 1 X G 2 X G 3 X H 1 X H 2 X |
![]() If F R X G R X H R X R 1 2 3 Are Polynomials In X Such That F R A G R A H R A R 1 2 3 And F X F 1 X F 2 X F 3 X G 1 X G 2 X G 3 X H 1 X H 2 X | If F R X G R X H R X R 1 2 3 Are Polynomials In X Such That F R A G R A H R A R 1 2 3 And F X F 1 X F 2 X F 3 X G 1 X G 2 X G 3 X H 1 X H 2 X | If F R X G R X H R X R 1 2 3 Are Polynomials In X Such That F R A G R A H R A R 1 2 3 And F X F 1 X F 2 X F 3 X G 1 X G 2 X G 3 X H 1 X H 2 X |
![]() If F R X G R X H R X R 1 2 3 Are Polynomials In X Such That F R A G R A H R A R 1 2 3 And F X F 1 X F 2 X F 3 X G 1 X G 2 X G 3 X H 1 X H 2 X | ![]() If F R X G R X H R X R 1 2 3 Are Polynomials In X Such That F R A G R A H R A R 1 2 3 And F X F 1 X F 2 X F 3 X G 1 X G 2 X G 3 X H 1 X H 2 X | ![]() If F R X G R X H R X R 1 2 3 Are Polynomials In X Such That F R A G R A H R A R 1 2 3 And F X F 1 X F 2 X F 3 X G 1 X G 2 X G 3 X H 1 X H 2 X |
![]() If F R X G R X H R X R 1 2 3 Are Polynomials In X Such That F R A G R A H R A R 1 2 3 And F X F 1 X F 2 X F 3 X G 1 X G 2 X G 3 X H 1 X H 2 X | If F R X G R X H R X R 1 2 3 Are Polynomials In X Such That F R A G R A H R A R 1 2 3 And F X F 1 X F 2 X F 3 X G 1 X G 2 X G 3 X H 1 X H 2 X | If F R X G R X H R X R 1 2 3 Are Polynomials In X Such That F R A G R A H R A R 1 2 3 And F X F 1 X F 2 X F 3 X G 1 X G 2 X G 3 X H 1 X H 2 X |
![]() If F R X G R X H R X R 1 2 3 Are Polynomials In X Such That F R A G R A H R A R 1 2 3 And F X F 1 X F 2 X F 3 X G 1 X G 2 X G 3 X H 1 X H 2 X | If F R X G R X H R X R 1 2 3 Are Polynomials In X Such That F R A G R A H R A R 1 2 3 And F X F 1 X F 2 X F 3 X G 1 X G 2 X G 3 X H 1 X H 2 X | ![]() If F R X G R X H R X R 1 2 3 Are Polynomials In X Such That F R A G R A H R A R 1 2 3 And F X F 1 X F 2 X F 3 X G 1 X G 2 X G 3 X H 1 X H 2 X |
![]() If F R X G R X H R X R 1 2 3 Are Polynomials In X Such That F R A G R A H R A R 1 2 3 And F X F 1 X F 2 X F 3 X G 1 X G 2 X G 3 X H 1 X H 2 X | If F R X G R X H R X R 1 2 3 Are Polynomials In X Such That F R A G R A H R A R 1 2 3 And F X F 1 X F 2 X F 3 X G 1 X G 2 X G 3 X H 1 X H 2 X |
= ½ M v cm 2 K rot = ½ I 2 K combined = ½ M v cm 2 ½ I 2 Rolling without slipping uses both kinds K = ½ M v cm 2 ½ I 2 v = r K = ½ M v cm 2 ½ I cm v cm 2/R2 or K = ½ M 2R2 ½ I cm 2 Torque Torque is the rotational analog of force Torque is a Title Microsoft Word 8_OR_dopolnitelni zadaci_docx Author Irena Created Date 12/7/ AM


























































0 件のコメント:
コメントを投稿